Galactose ist ein Monosaccharid und Bestandteil des Disaccharids Lactose (Milchzucker). Im Deutschen wird die Galactose auch als "Schleimzucker" bezeichnet, was aber nicht sehr verbreitet ist.
Chemisch gesehen ist Galactose eine Hexose, hat also wie auch beispielsweise Glucose die Summenformel C6H12O6.

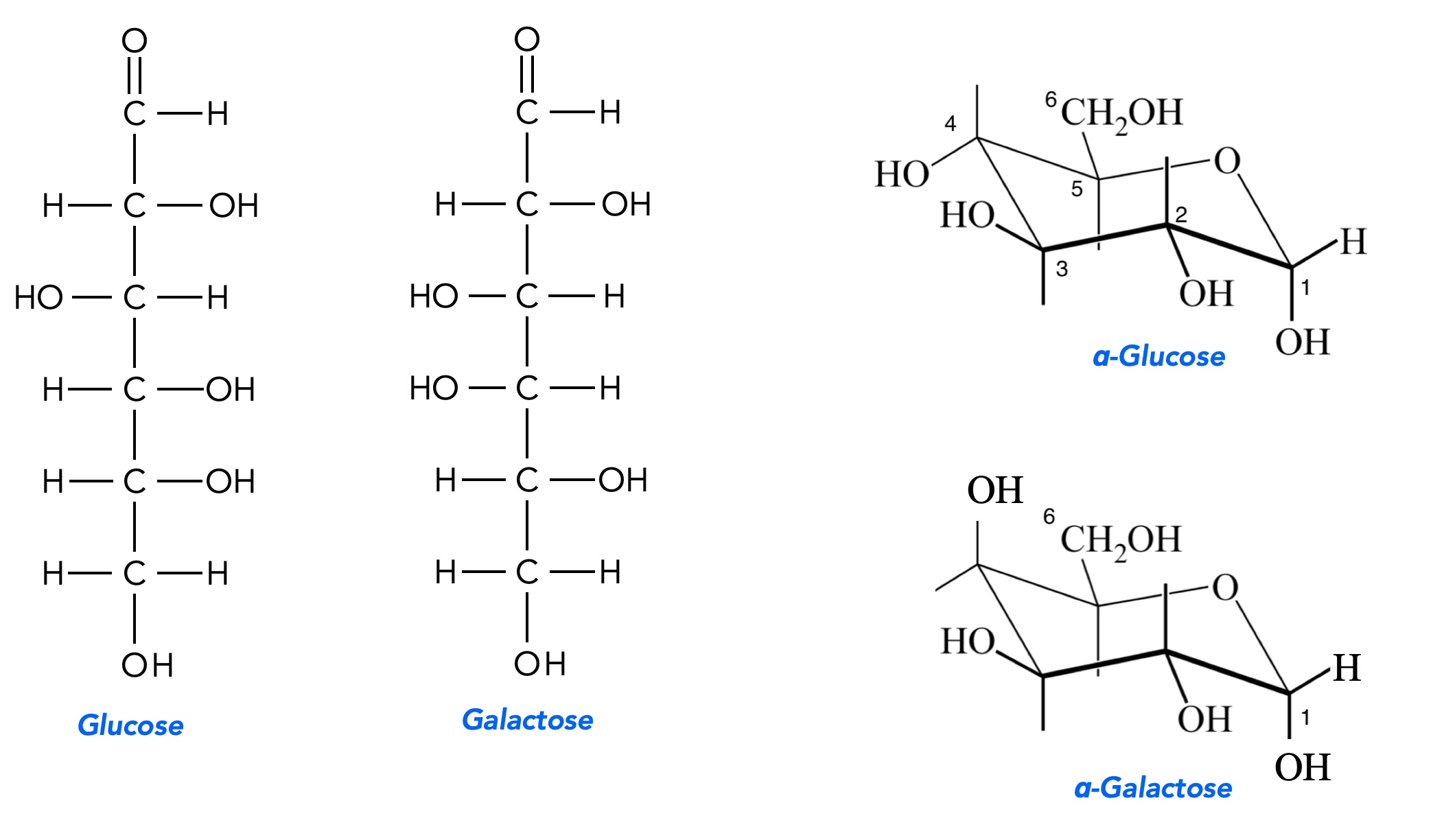
Glucose und Galactose im Vergleich
Autor: Ulrich Helmich 10/2024, Lizenz: Public domain
Der einzige strukturelle Unterschied ist die Stellung der OH-Gruppe am vierten C-Atom. Genau wie Glucose liegt die natürlich vorkommende Galactose in der D-Konfiguration vor, nicht in der spiegelbildlichen L-Konfiguration.
Vorkommen
(aus der Wikipedia vom 14.10.2024)
Galactose tritt außer als Monosaccharid auch als Baustein in Di- (z. B. Lactose), Oligo- (z. B. Raffinose) und Polysacchariden (z. B. Agarose) auf. Sie ist auch Bestandteil von Proteoglykanen und Glycolipiden. Über UDP-Galactose stellt der Organismus auch bei galactosefreier Kost hierfür ausreichend Ausgangsstoff zur Verfügung. I
In der lactierenden Milchdrüse wird Lactose aus UDP-Galactose und Glucose mit Hilfe von Lactosesynthetase in der Muttermilch als wichtiger Energieträger für Säuglinge bereitgestellt. Die Lactose wird im Dünndarm durch das Enzym Lactase in Glucose und Galactose gespalten und dem Energiestoffwechsel zugeführt.
Quellen:
- Römpp Chemie-Lexikon, 9. Auflage 1992
- Wikipedia, Artikel "Galactose"