Helmichs Chemie-Lexikon

Schiff-Basen

Eine Schiff-Base entsteht, wenn eine Aminogruppe eines primären Amins mit der Carbonylgruppe eines Aldehyds oder Ketons reagiert:

Bildung einer Schiff-Base aus einem Aldehyd oder Keton und einem primären Amin
Autor: Ulrich Helmich 03/2023, Lizenz: Public domain

Chemisch gesehen handelt es sich hier um eine nucleophile Addition.

Benannt sind die Schiff-Basen nach Hugo Schiff (1834-1915), einem deutsch-italienischen Chemiker, der diese Stoffklasse entdeckt hat. Schiff-Basen werden auch als Imine bezeichnet. Je nachdem, ob man einen Aldehyd oder ein Keton zur Bildung des Imins verwendet hat, unterscheidet man Aldimine und Ketimine.

Schiffsche Probe

Schiff-Basen werden zum Nachweis von Aldehyden verwendet. Bei der sogenannten Schiffschen Probe wird das primäre Amin fuchsinschwefelige Säure benutzt, das auch als Schiffsches Reagenz bekannt ist.

Zusammenfassung des Reaktionsmechanismus der Schiffschen Probe
Jörg Feinschleifer, CC BY-SA 4.0, via Wikimedia Commons

Links im Bild sehen wir zwei Grenzstrukturen des violetten Triphenylmethan-Farbstoffes Fuchsin. Durch Zugabe tropfenweise Zugabe von Schwefeliger Säure H2SO3 entsteht die farblose fuchsinschwefelige Säure, die wir oben rechts im Bild sehen.

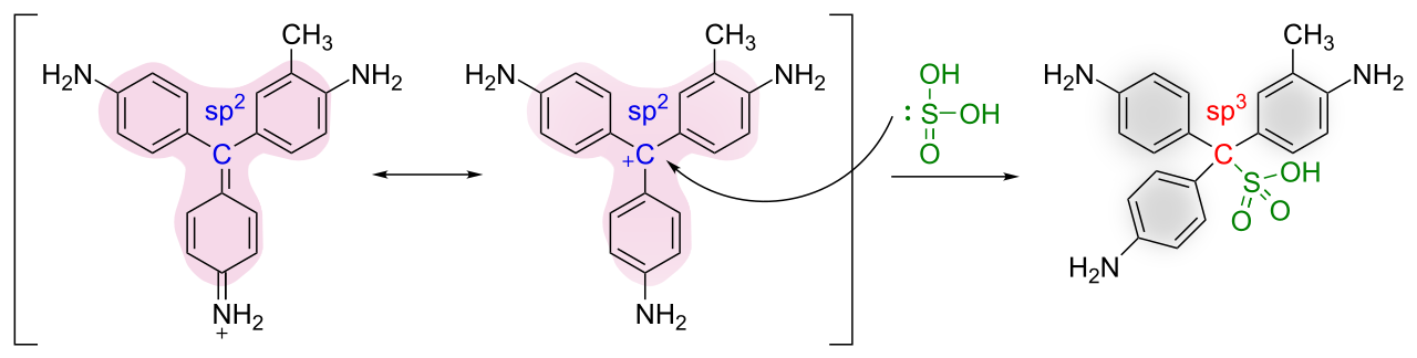
Für Chemie-Profis:

Die Entfärbung des Fuchsins kommt dadurch zustande, dass sich die Schwefelsäure an das zentrale sp2-hybridisierte C-Atom des Fuchsin setzt, welches dadurch in den sp3-hybridisierten Zustand wechselt. Das große aromatische System der delokalisierten pi-Elektronen wird dadurch unterbrochen und in drei kleine pi-Systeme unterteilt. Der HOMO-LUMO-Abstand in diesen drei pi-Systemen ist sehr viel kleiner als in dem großen pi-Systems des Fuchsins, daher wird nur noch farbloses UV-Licht absorbiert.

Umhybridisierung von sp2 nach sp3 durch Anlagerung der Schwefelsäure
Rillke, Einfärbung der pi-Systme durch Ulrich Helmich, Public domain, via Wikimedia Commons

Eine der beiden Amino-Gruppen dieses Nachweismittels reagiert dann mit einem Aldehyd zu einer Schiff-Base (rechts unten). Diese ist charakteristisch rot gefärbt, was dann als Nachweis eines Aldehyds gilt.

Durch die Abspaltung des HSO3--Anions entsteht wieder ein sp2-hybridisiertes zentrales C-Atom, und die drei einzelnen pi-Systeme werden wieder vereinigt. Daher ist diese Verbindung wieder farbig.

Quellen:

  1. RÖMPP Chemie-Lexikon, 9. Auflage, Band Pl-S (1989), S. 4026.